Chapitre 3
content
menu
navigation
tools
Properties
Previous
Next
Chapitre 3 : Discrete Signals
Definition
Common discrete signals
Common Discrete Signals
Operations on discrete signals
Energy and Power of Discrete Signals
Fourier Transform of Discrete-Time Signals (FTDT)
Inverse Discrete-Time Fourier Transform
Introduction
Poisson Formula
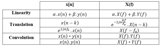
Properties
Parseval equality
From DTFT to FTD
Discrete Fourier Transform (DFT)
FFT : Fast Fourier Transform
Homepage
Module